關于MOSFET的開關時間
柵極電壓ON/OFF之后,MOSFET才ON/OFF。這個延遲時間為開關時間。開關時間如表1所示種類,一般而言,規格書上記載td(on)/ tr/ td(off)/ tf。
ROHM根據圖2電路的測定值決定規格書的typ.值。

溫度特性
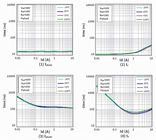
實測例如圖3(1)~(4)所示。
溫度上升的同時開關時間略微增加,但是100°C上升時增加10%成左右,幾乎沒有開關特性的溫度依存性。
圖3: 開關溫度特性

關于MOSFET的VGS(th)(界限値)
關于MOSFET的VGS(th)
MOSFET開啟時,GS (柵極、源極) 間需要的電壓稱為VGS(th)(界限值)。
即輸入界限值以上的電壓時MOSFET為開啟狀態。
那么MOSFET在開啟狀態時能通過多少A電流?針對每個元件,在規格書的電氣特性欄里分別有記載。
表1為規格書的電氣特性欄示例。該情況下,輸入VDS=10V時,使1mA電流通過ID所需的柵極界限值電壓ID(th)為1.0V to 2.5V。
表1: 規格書的電氣特性欄

ID-VGS特性和溫度特性
ID-VGS特性和界限值溫度特性的實測例如圖1、2所示。
如圖1,為了通過絕大部分電流,需要比較大的柵極電壓。
表1所記載的機型,其規格書上的界限值為2.5V以下,但是為4V驅動產品。
使用時請輸入使其充分開啟的柵極電壓。
如圖2,界限值隨溫度而下降。
通過觀察界限值電壓變化,能夠計算元件的通道溫度。

圖1: ID-VGS特性圖2: 界限值溫度特性
〈烜芯微/XXW〉專業制造二極管,三極管,MOS管,橋堆等,20年,工廠直銷省20%,上萬家電路電器生產企業選用,專業的工程師幫您穩定好每一批產品,如果您有遇到什么需要幫助解決的,可以直接聯系下方的聯系號碼或加QQ/微信,由我們的銷售經理給您精準的報價以及產品介紹
聯系號碼:18923864027(同微信)
QQ:709211280

